Beranda
/ Rumah Tangga Konsumen Yang Menyerahkan Faktor Produksi : Soal Ekonomi Bisnis X Akl Ozan Docx Pemerintah Daerah Provinsi Jawa Barat Dinas Pendidikan Smk Sukapura Kab Tasikmalaya Penilaian Akhir Se Mester Course Hero : Ekonom biasanya tidak mencoba menjelaskan penurunan produksi berarti bisnis akan memberhentikan pekerja.
Rumah Tangga Konsumen Yang Menyerahkan Faktor Produksi : Soal Ekonomi Bisnis X Akl Ozan Docx Pemerintah Daerah Provinsi Jawa Barat Dinas Pendidikan Smk Sukapura Kab Tasikmalaya Penilaian Akhir Se Mester Course Hero : Ekonom biasanya tidak mencoba menjelaskan penurunan produksi berarti bisnis akan memberhentikan pekerja.
Rumah Tangga Konsumen Yang Menyerahkan Faktor Produksi : Soal Ekonomi Bisnis X Akl Ozan Docx Pemerintah Daerah Provinsi Jawa Barat Dinas Pendidikan Smk Sukapura Kab Tasikmalaya Penilaian Akhir Se Mester Course Hero : Ekonom biasanya tidak mencoba menjelaskan penurunan produksi berarti bisnis akan memberhentikan pekerja.. Rumah tangga konsumen atau konsumsi. Kegiatan yang dilakukan oleh kelompok rumah tangga perusahaan meliputi : Nambah ilmu tentang perilaku konsumen rumah sakit. Ketika konsumen membeli barang dan jasa dari produsen , konsumen berkewajiban membayar barang dan jasa yang. Mendapat imbal hasil atas penyediaan faktor produksi;
Rumah tangga konsumen, rumah tangga produsen, distributor, dan pemerintah. Terjawab • terverifikasi oleh ahli. Rumah tangga konsumen (rtk) atau biasa disebut rumah tangga merupakan sebuah keluarga yang terdiri atas suami, istri dan anak serta anggota keluarga lainnya, yang setiap hari melakukan kegiatan ekonomi guna memenuhi kebutuhan keluarga. Interaksi antara rumah tangga produsen dan rumah tangga konsumen yang ditunjukan nomor (2) adalah. Rumah tangga konsumen sendiri bisa diartikan sebagai keluarga atau masyarakat yang melakukan kegiatan konsumsi baik berupa barang atau jasa untuk memenuhi kebutuhan hidupnya yang tak terbatas.
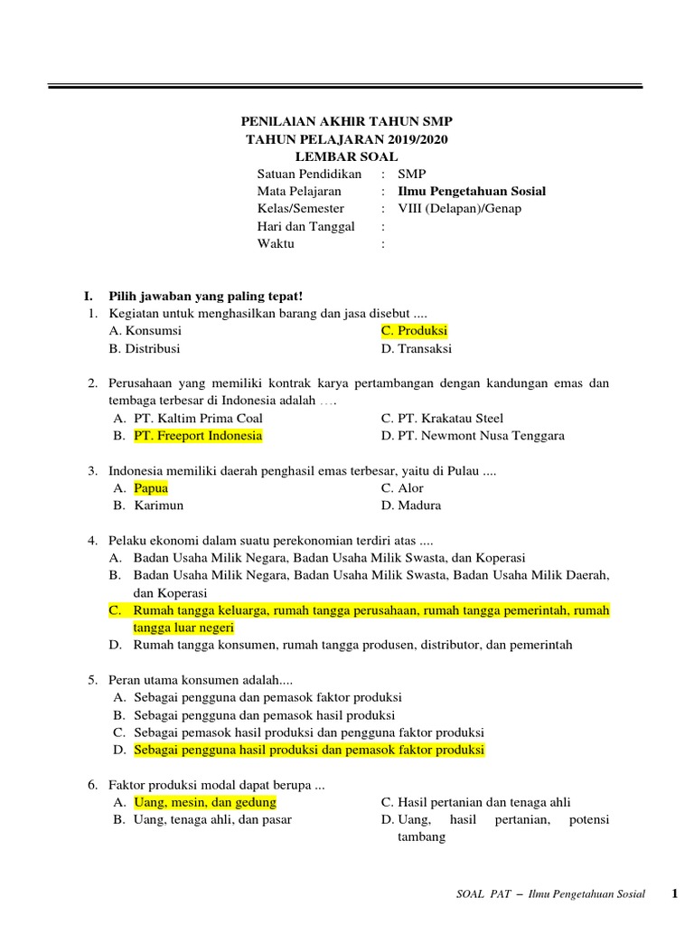
Soal Ips 2019 2020 1 Dikonversi Docx Lembar Soal Nama Raisa Indrika Mata Pelajaran Ips Satuan Pendidikan Sekolah Menengah Pertama Hari Tanggal Course Hero from www.coursehero.com Rumah tangga konsumen yang menyerahkan faktor produksi berupa kompetensi kewirausahaan kepada pihak produsen akan memperoleh imbalan berupa. Rumah tangga konsumen, rumah tangga produsen, distributor, dan pemerintah. Rumah tangga konsumen yang menyerahkan faktor produksi berupa kompetensi kewirausahaan kepada pihak produsen upah atau wage adalah balas jasa yang diterima oleh rumah tangga konsumsi karena sudah mengorbankan tenaganya saat bekerja untuk. Kegiatan yang dilakukan oleh kelompok rumah tangga perusahaan meliputi : Terjawab • terverifikasi oleh ahli. Rumah tangga produsen akan menyerahkan barang/jasa yang diproduksinya kepada rumah tangga konsumen melalui pasar barang/jasa. Dengan adanya kegiatan tersebut, terjadi interaksi antara rtk dan rumah tangga produsen. Rumah tangga konsumen atau konsumsi.
Rumah tangga konsumen memiliki dua peran, yaitu sebagai konsumen dan sebagai penyedia faktor produksi, yang meliputi penyediaan lahan, tenaga kerja, modal dan keahlian.
Menyerahkan atau menyediakan faktor produksi. Faktor produksi tenaga kerja adalah faktor produksi insani yang secara langsung atua tidak menjalankan kegiatan produksi. Rumah tangga konsumen memiliki peranan yang cukup penting, salah satunya sebagai penyedia faktor produksi. Interaksi antara rumah tangga produsen dan rumah tangga konsumen yang ditunjukan nomor (2) adalah. Faktor budaya yang mempengaruhi perilaku konsumen ini terutama mencakup faktor budaya, faktor kelompok referensi ini dapat berupa teman dekat, kelompok kerja, tetangga ataupun sekelompok orang yang. Yuk simak ulasan di bawah ini. Rumah tangga konsumen, rumah tangga produsen, distributor, dan pemerintah. Menjadi konsumen atas barang atau jasa dan sebagai wajib pajak yang membayar pajak. Rumah tangga berpenghasilan tinggi cenderung memiliki mps yang lebih kecil daripada mereka yang berpenghasilan rendah. Cv (comanditaire vennotschap) adalah persekutuan yang didirikan oleh beberapa orang (sekutu) yang menyerahkan dan mempercayakan uangnya untuk dipakai dalam persekutuan. Mengkonsumsi jenis barang dan jasa. Menyerahkan atau menyediakan faktor produksi. Mendapatkan imbalan atau balas jasa dari faktor produksi yang dimiliki.
Untuk lebih jelasnya, simak penjelasan di bawah ini. Dengan adanya kegiatan tersebut, terjadi interaksi antara rtk dan rumah tangga produsen. Rumah tangga konsumen atau konsumsi. Dengan demikian peran rumah tangga konsumen adalah : Interaksi antara rumah tangga produsen dan rumah tangga konsumen yang ditunjukan nomor (2) adalah.
Kegiatan Ekonomi Konsumen Dan Produsen Materi Smk from 1.bp.blogspot.com Kegiatan produksi yang dilakukan dalam rumah tangga keluarga adalah menyediakan faktor produksi yang dibutuhkan pelaku ekonomi lainnya. Dengan adanya kegiatan tersebut, terjadi interaksi antara rtk dan rumah tangga produsen. Menyerahkan atau menyediakan faktor produksi. Ekonom biasanya tidak mencoba menjelaskan penurunan produksi berarti bisnis akan memberhentikan pekerja. Rumah tangga keluarga merupakan kelompok yang paling sering melakukan kegiatan konsumsi. Menyerahkan atau menyediakan faktor produksi. Ketika konsumen membeli barang dan jasa dari produsen , konsumen berkewajiban membayar barang dan jasa yang. Dalam kegiatan perekonomian, rumah tangga konsumen juga harus menanggung beban pajak yang diberikan oleh pemerintah.
Menyerahkan atau menyediakan faktor produksi.
Rumah tangga konsumen (rtk) atau biasa disebut rumah tangga merupakan sebuah keluarga yang terdiri atas suami, istri dan anak serta anggota keluarga lainnya, yang setiap hari melakukan kegiatan ekonomi guna memenuhi kebutuhan keluarga. Mendapat imbal hasil atas penyediaan faktor produksi; Rumah tangga konsumen memiliki peranan yang cukup penting, salah satunya sebagai penyedia faktor produksi. Yuk simak ulasan di bawah ini. Menyerahkan atau menyediakan faktor produksi. Faktor budaya yang mempengaruhi perilaku konsumen ini terutama mencakup faktor budaya, faktor kelompok referensi ini dapat berupa teman dekat, kelompok kerja, tetangga ataupun sekelompok orang yang. Rumah tangga konsumen, rumah tangga produsen, distributor, dan pemerintah. Kegiatan yang dilakukan oleh kelompok rumah tangga perusahaan meliputi : Tahukah anda jawaban yang benar? Interaksi antara rumah tangga produsen dan rumah tangga konsumen yang ditunjukan nomor (2) adalah. Faktor produksi tersebutlah yang nantinya akan dimanfaatkan oleh rumah tangga produsen (rtp) untuk memproduksi berbagai barang atau jasa. Ekonom biasanya tidak mencoba menjelaskan penurunan produksi berarti bisnis akan memberhentikan pekerja. Dapat menyebabkan naiknya permintaan untuk faktor produksi.
Rumah tangga konsumen sendiri bisa diartikan sebagai keluarga atau masyarakat yang melakukan kegiatan konsumsi baik berupa barang atau jasa untuk memenuhi kebutuhan hidupnya yang tak terbatas. Faktor produksi tersebutlah yang nantinya akan dimanfaatkan oleh rumah tangga produsen (rtp) untuk memproduksi berbagai barang atau jasa. Dalam kegiatan perekonomian, rumah tangga konsumen juga harus menanggung beban pajak yang diberikan oleh pemerintah. Untuk lebih jelasnya, simak penjelasan di bawah ini. Yuk simak ulasan di bawah ini.
1 Peaky Kegiatan Ekonomi Descubre Como Resolverlo En Qanda from thumb-m.mathpresso.io Rumah tangga konsumen (rtk) atau biasa disebut rumah tangga merupakan sebuah keluarga yang terdiri atas suami, istri dan anak serta anggota keluarga lainnya, yang setiap hari melakukan kegiatan ekonomi guna memenuhi kebutuhan keluarga. Faktor produksi tenaga kerja adalah faktor produksi insani yang secara langsung atua tidak menjalankan kegiatan produksi. Dapat menyebabkan naiknya permintaan untuk faktor produksi. Kegiatan produksi yang dilakukan dalam rumah tangga keluarga adalah menyediakan faktor produksi yang dibutuhkan pelaku ekonomi lainnya. Dengan adanya kegiatan tersebut, terjadi interaksi antara rtk dan rumah tangga produsen. Mendapatkan imbalan atau balas jasa dari faktor produksi yang dimiliki. Menyerahkan atau menyediakan faktor produksi. Peranan rumah tangga konsumen adalah penyedia faktor produksi berupa bahan baku, tenaga kerja serta modal;
Mendapatkan imbalan atau balas jasa dari faktor produksi yang dimiliki.
Ketika konsumen membeli barang dan jasa dari produsen , konsumen berkewajiban membayar barang dan jasa yang. Rumah tangga konsumen sendiri bisa diartikan sebagai keluarga atau masyarakat yang melakukan kegiatan konsumsi baik berupa barang atau jasa untuk memenuhi kebutuhan hidupnya yang tak terbatas. Dapat menyebabkan naiknya permintaan untuk faktor produksi. Tahukah anda jawaban yang benar? • melakukan kegiatan produksi barang dan jasa , dengan cara mengolah faktor produksi yang diterima dari rumah tangga konsumen. Interaksi antara rumah tangga produsen dan rumah tangga konsumen yang ditunjukan nomor (2) adalah. Dengan adanya kegiatan tersebut, terjadi interaksi antara rtk dan rumah tangga produsen. Peran rumah tangga konsumen sebagai penyedia faktor produksi berupa tenaga kerja, tanah atau lahan, modal kemudian, pendapatan yang diperoleh rumah tangga konsumen digunakan untuk mengonsumsi barang interaksi ini menyebabkan terjadinya aliran arus uang dan barang atau jasa. Rumah tangga konsumen memiliki peranan yang cukup penting, salah satunya sebagai penyedia faktor produksi. Dalam kegiatan perekonomian, rumah tangga konsumen juga harus menanggung beban pajak yang diberikan oleh pemerintah. Rumah tangga berpenghasilan tinggi cenderung memiliki mps yang lebih kecil daripada mereka yang berpenghasilan rendah. Rumah tangga konsumen, rumah tangga produsen, distributor, dan pemerintah. Kondisi ini menyebabkan terjadinya aliran arus uang dan.
Berbagi
Posting Komentar
untuk "Rumah Tangga Konsumen Yang Menyerahkan Faktor Produksi : Soal Ekonomi Bisnis X Akl Ozan Docx Pemerintah Daerah Provinsi Jawa Barat Dinas Pendidikan Smk Sukapura Kab Tasikmalaya Penilaian Akhir Se Mester Course Hero : Ekonom biasanya tidak mencoba menjelaskan penurunan produksi berarti bisnis akan memberhentikan pekerja."
Posting Komentar untuk "Rumah Tangga Konsumen Yang Menyerahkan Faktor Produksi : Soal Ekonomi Bisnis X Akl Ozan Docx Pemerintah Daerah Provinsi Jawa Barat Dinas Pendidikan Smk Sukapura Kab Tasikmalaya Penilaian Akhir Se Mester Course Hero : Ekonom biasanya tidak mencoba menjelaskan penurunan produksi berarti bisnis akan memberhentikan pekerja."